Impact of mandated drug monitoring on opioid use during highly conformal radiotherapy for oropharynx cancer
Highlight box
Key findings
• Patient-reported pain scores, total analgesic usage, and uncontrolled pain were assessed before/after a prescription drug monitoring program (PDMP) mandate in 64 patients treated with highly conformal radiotherapy (RT).
What is known and what is new?
• PDMPs track prescribing patterns to better curb opioid misuse; however, it is unknown if this has led to unintended changes in appropriate prescribing patterns for at-risk oncologic populations.
• This is the first reported evaluation of acute opioid analgesic prescribing patterns in head and neck cancer patients undergoing RT before/after a mandated PDMP implementation.
What is the implication, and what should change now?
• Efforts to better monitor opioid use with PDMPs did not lead to uncontrolled pain or changes in prescription patterns.
• There are few modern reports on acute opioid use in those undergoing highly conformal advanced RT techniques or that assess the impact of PDMPs on oncology patients.
Introduction
According to the Centers for Disease Control and Prevention, almost 50,000 American deaths were attributed to opioid overdoses in 2018, with nearly half of the mortalities stemming from prescription medications (1). Prescription drug monitoring programs (PDMPs) that generate detailed, real-time patient medical and prescription histories, as well as highlight possible indications of drug abuse, have been nearly universally adopted (2-6) to reduce the misuse of prescription opioids. However, it has yet to be determined if PDMPs cause unintended effects on access to care for oncologic patient populations (7-12).
Because of sensitive aerodigestive and neurovascular tissues, cancer and cancer treatment related pain is common in patients with oropharyngeal malignancies. These individuals tend to have a higher opioid utilization rate and higher dose escalation compared to other patients with advanced cancers (13). In fact, a recent series demonstrated that more than two-thirds of patients treated with conventional radiotherapy (RT) require opioid analgesics within the acute and subacute treatment periods (14-18). Therefore, patients with oropharyngeal cancers undergoing RT can provide a crucial perspective to understanding the effects of legislative policies within at-risk populations.
The present study evaluates the impact of the mandated use of an online PDMP on acute opioid analgesic practices and patient-reported pain levels among patients with oropharyngeal cancer undergoing highly conformal RT. We present this article in accordance with the STROBE reporting checklist (available at https://apm.amegroups.com/article/view/10.21037/apm-23-404/rc).
Methods
The study was conducted in accordance with the Declaration of Helsinki (as revised in 2013). The study was approved by the University of Florida’s Institutional Review Board (No. IRB201801009) and informed consent was obtained from all individual participants.
The medical records of 64 patients with oropharyngeal cancer treated with RT at the University of Florida Health Proton Therapy Institute between July 1, 2017, and December 31, 2019, were reviewed. Patient characteristics and treatment information are shown in Tables 1,2, respectively.
Table 1
| Characteristics | Before intervention (n=26) | After intervention (n=38) |
|---|---|---|
| Age (years) | 63 [33–80] | |
| Sex | ||
| Male | 26 [100] | 31 [82] |
| Female | 0 [0] | 7 [18] |
| Smoking | ||
| Never | 12 [46] | 17 [45] |
| <10 py | 5 [19] | 7 [18] |
| 10–30 py | 2 [8] | 10 [26] |
| 30+ py | 7 [27] | 4 [11] |
| Active smoking status | 6 [23] | 3 [8] |
| Smoking status | ||
| Active | 6 [23] | 3 [8] |
| Not active | 20 [77] | 35 [92] |
| Alcohol use | ||
| None | 6 [23] | 16 [42] |
| Typical | 17 [65] | 18 [47] |
| Excessive† | 3 [12] | 2 [5] |
| Former dependence | 0 [0] | 2 [5] |
| Tumor stage | ||
| T1/T2 | 19 [73] | 28 [74] |
| T3/T4 | 7 [27] | 10 [26] |
| Nodal stage | ||
| N0 | 1 [4] | 2 [5] |
| N1 | 8 [31] | 21 [55] |
| N2 | 16 [62] | 14 [37] |
| N3 | 1 [4] | 1 [3] |
| P16 positive | 24 [92] | 31 [82] |
| Primary tumor site | ||
| Base of tongue | 12 [46] | 17 [45] |
| Tonsil | 12 [46] | 19 [50] |
| All other sites‡ | 2 [8] | 2 [5] |
Data are presented as median [range] or n [%]. †, excessive alcohol use defined as ≥15 drinks/week for men and ≥8 drinks for women; ‡, other primary sites included posterior pharyngeal wall (n=2) and soft palate (n=2). py, pack years.
Table 2
| Characteristics | Before intervention (n=26) | After intervention (n=38) |
|---|---|---|
| Primary surgery | 4 [15] | 3 [8] |
| Radiation alone | 22 [85] | 35 [92] |
| RT modality | ||
| Proton alone | 11 [42] | 29 [76] |
| Photon alone | 6 [23] | 8 [21] |
| Proton + Photon | 9 [35] | 1 [3] |
| Dose (Gy) | ||
| RT alone | 70 [60–70] | 60 60–70] |
| Postop patients | 66.3 [60–70] | 70 [66–70] |
| Accelerated fractionation | 16 [62] | 5 [13] |
| Chemotherapy | 19 [73] | 29 [76] |
Data are presented as median [range] or n [%]. RT, radiation therapy; Gy, Gray; Postop, postoperative.
All patients received highly conformal RT with either proton therapy (PT) alone (n=40), intensity-modulated RT (IMRT) (n=14), or a combination (n=10). Forty-five patients received pencil beam PT as a component of their radiation treatment, and 5 received double-scattered PT alone. Five of the combined-modality patients received less than 10 Gy of IMRT, which was delivered because of unexpected machine downtime. Fifty-three (83%) patients received bilateral neck irradiation. At baseline, 39% (n=25) of patients were on opioids, and 8% (n=5) were on gabapentin.
Cohorts were divided into two groups, separated by the enactment of a PDMP law mandated by the state health department and legislature, house bill (HB) 21, which became effective July 1, 2018 (19). While cancer patients were excluded from the law, HB 21 required that prior to prescribing or dispensing any controlled substance to a patient 16 or older, the prescribing practitioner must first check the Florida Prescription Drug Monitoring Program (E-FORSCE) multistate database. Additionally, Schedule II opioids intended for acute pain were given for 3 days up to 7 days (maximum), with exceptions. Additional continuing education requirements, as well as documentation in the medical record and within the prescription indicating the lack of alternatives or “non-acute pain” exceptions, were required. Electronically sent prescriptions were required by law with an initial phase-in period; the PDMP system for our institution was not integrated into the electronic medical record for the radiation oncology clinic and required a separate login for each encounter. Documentation of all prescriptions was performed through a review of the medical record, as the PDMP is restricted only to clinical use (a request to audit for research was denied).
The preintervention cohort (n=26) was treated between July 1, 2017, and June 30, 2018, while the postintervention subset (n=38) was treated between July 1, 2018, and December 31, 2019. The primary endpoint of this study was to evaluate dosages prescribed during the acute therapy period, defined as during RT and within the first 3 months following completion of RT as well as patient-reported pain as defined by the Defense and Veterans Pain Rating Scale (DVPRS). Patient eligibility criteria included the following: (I) an oropharyngeal primary site with biopsy-confirmed squamous cell carcinoma; (II) the absence of known prior head and neck cancer or prior head and neck RT; and (III) the absence of non-nodal metastases. The disease stage was determined per the criteria defined by the Eighth Edition of the American Joint Committee on Cancer Staging Manual.
Baseline prescriptions were defined as any regularly scheduled prescription at the start of RT. Posttreatment prescriptions included those given 1 week following RT up to the 3-month follow-up examination. The total prescribed doses included the dose prescribed from the beginning of RT up to the 3-month follow-up. Opioid doses were converted to milligram morphine equivalents (MMEs) based on the Centers for Medicare and Medicaid Services conversion factors. Periprocedural opioids for procedures such as feeding tube placement or port placement were excluded. Pain during each week of therapy and at the 3-month follow-up was quantified using the DVPRS, with uncontrolled pain defined as 2 or more occurrences of patient-reported pain greater than 5 (20). As RT treatment schedules were delivered over 6 to 7 weeks, the total study period for an individual patient from initial consultation to end of evaluation spanned nearly 6 months. Three months was chosen as the endpoint as defined as the acute period for treatment toxicity (21,22).
Patients were provided education on supportive care at the start of RT and the use of over-the-counter analgesics, including acetaminophen and ibuprofen, for those who did not receive concurrent chemotherapy or have other contraindications. All patients were provided viscous lidocaine 2% to use for oral mucositis and dysphagia on treatment. Opioids were not started unless indicated by failure to control pain with alternatives. The typical initial opioid prescription included oxycodone 5 to 10 mg with 60 to 90 tablets and then personalized for baseline characteristics, degree of pain, and individual usage.
Statistical analysis
JMP Pro version 16.1.0 (SAS Institute, Cary, NC, USA) was utilized for statistical analysis. The nonparametric Wilcoxon signed-rank test assessed MME usage as a continuous variable as a function of the time period. Because MME (i.e., 0 vs. 40 to 3,000 vs. 3,000+) and pain score (0 vs. 1 vs. 2+) were formatted as three-level ordinal responses, Cochran-Mantel-Haenzsel’s Chi-square test was the appropriate analytic technique. Specifically, the row mean score test assessed significant shifts in the relative proportions of both MME dosage and pain score responses as a function of a given prognostic factor.
Results
While 72% (n=46) of our cohort received opioids during RT, only 22% (n=10) of those patients and 10% (n=2) of opioid-naive patients were prescribed analgesics at 3 months after treatment. In total, 75% (n=48) of patients received opioid prescriptions, and 17% (n=11) received nonopioid prescriptions (exclusively gabapentin) between the RT start date and the 3-month follow-up. Baseline gabapentin use was 8% (n=2) in both the pre- and postintervention groups. In comparison, up to 24% (n=9) of patients in the postintervention group were taking gabapentin during RT. The difference between the two groups was not statistically significant (P=0.09).
Table 3 illustrates the results of univariate analysis of patient and treatment characteristics on total prescribed MME. Treatment period (pre- or postintervention), surgery, p16 status, TNM stage, RT modality, tobacco use, and chemotherapy were not associated with increased opioid use. Patients having a primary within the tonsil (P<0.01) and the use of alcohol (P=0.02) were the only statistically significant factors for prescribed MMEs.
Table 3
| Factor | P value |
|---|---|
| Surgery | 0.97 |
| p16 status | 0.26 |
| Tumor stage | 0.15 |
| Nodal stage | 0.51 |
| Head and neck subsite | <0.01 |
| Radiation modality | 0.22 |
| Alcohol use | 0.02 |
| Smoking | 0.45 |
| Treatment cohort | 0.3 |
| Chemotherapy | 0.94 |
Figure 1 depicts a histogram showing the distribution of opioid utilization by pre- and postintervention time intervals stratified by timing with RT. The median total opioid doses (and quartiles) by intervention status were 975 MME (450–2,000 MME) and 1,025 MME (0–3,263 MME) for the pre- and postintervention groups, respectively. There was no statistical difference in total MME between the two time periods (P=0.8).
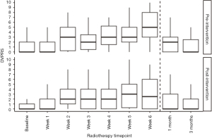
Figure 2 shows adjacent DVPRS pain scores in boxplots steadily rising during treatment, peaking during the last week of RT, and declining at 1 and 3 months after treatment, with patients returning to pretreatment baseline pain scores. During treatment, 30% (n=19) of all patients had uncontrolled pain, including 26% (n=10) of those in the postintervention group, reporting 2 or more scores above 5. Excluding those with uncontrolled pain at baseline, patient-reported uncontrolled pain episodes during treatment and at the 3-month follow-up did not vary based on the intervention group (P=0.19).
Regarding acute toxicity, there were no significant differences between the two cohorts. In total, feeding tubes [or parenteral/intravenous (IV) nutritional support] were indicated in 10/64 (16%), and hospitalization occurred in 9/64 (14%). Grade 3+ nutritional toxicities (dry mouth, xerostomia, salivary duct inflammation, nausea and vomiting, trismus, anorexia, dysphagia, and mucositis) were seen in 12/64 (19%) and 10/64 (16%) as measured by the Common Terminology Criteria for Adverse Events, Versions 3 and 4, respectively.
Discussion
The implementation of universally mandated PMDPs, with or without an exemption for patients with cancer, has led oncologists to worry about the potential underutilization of effective pain regimens during cancer treatment (7). Curative-intent therapy for oropharyngeal head and neck cancer is associated with a high incidence of acute pain. Indeed, compared to other cancer types evaluated, head and neck cancers have the highest prevalence of pain, which peaks during active treatment (23). As a result, patients with oropharyngeal cancers undergoing RT comprise an ideal group to study to better understand whether well-intended legislative policies targeting opioid abuse affect the care of one of the most highly susceptible cancer populations. To the best of our knowledge, this is the first publication of such an analysis.
As demonstrated in Figures 1,2, not only did the present analysis find no difference in prescribed MME among the postintervention group compared to the preintervention group (P=0.8), there were no differences in patient-reported uncontrolled pain (P=0.3) either. This finding contrasts earlier reports, such as that by Graetz et al., who reviewed physician-level Medicare Part D prescriber files for medical oncologists from 2013 to 2017 (7). They found that compared with those in states with no mandated PDMP, the rate of oncology patients who filled an opioid prescription declined by 2.8% in states that enacted mandatory-access PDMPs, even in states with exemptions for cancer patients. The present analysis did not find evidence to suggest that declines in prescriber practices applied to the acute setting of oncologic pain control during RT, nor did it lead to clinically meaningful changes in patient-reported pain.
Patients with oropharyngeal cancer have some of the highest incidences of opioid medication use, and the present series reaffirms this finding. In our study, on-treatment opioid analgesic use increased to as much as 72% during treatment, corresponding with a peak in patient-reported pain scores during the last week of therapy. Konopka-Filippow et al. found that nearly half of the oropharyngeal patients receiving analgesic treatment for pain were administered high-dose opioids, and McDermott et al. reported the percentage of patients prescribed opioid medications during RT at 83% (15,16). High rates of opioid retention following treatment with RT for oropharynx squamous cell carcinoma were documented by Silver et al. in 2019, who recorded chronic opioid use in 53% of their 198 patients, although 29% of these patients had preexisting chronic pain conditions (18). Our series, however, contrasts some of the prior reports since, although acute use was high, the risk of continued dependence was low such that less than one-quarter of all patients and only one-tenth of opioid-naive patients were prescribed opioids in the 3 months following therapy, which corresponded with normalization of patient-reported pain scores.
For those receiving head and neck RT, additional diverse strategies have been used to target patient-reported pain (for example, nursing education that does not involve opioids, music therapy, and anxiety and depression assessments during RT) (24-27). Over-the-counter medications and prescription-based products, such as nonsteroidal anti-inflammatories (25), doxepin (28), photobiomodulation (29), and gabapentin, have shown promise (30,31). Several studies have shown that prophylactic use of gabapentin during chemoradiation can reduce pain, opioid use, and feeding tube rates, although a recent randomized controlled trial questioned this practice (31-34). Within the present series, there was a higher utilization of gabapentin in the postintervention cohort of 24% vs. 8% (the increase was not statistically significant), with a difference in patient-reported pain between the two groups. Lastly, while PT has demonstrated reductions in RT toxicities, treatment modality along with surgery, human papillomavirus association, and chemotherapy did not appear to impact the MME prescribed or the percentages of patient-reported uncontrolled pain (35).
Limitations to this retrospective analysis include cohort and sample size, susceptibility to selection bias, limitations in data recovery, and other inconsistencies attributable to a retrospective design. Public awareness efforts have targeted reductions in opioid prescriptions in response to the US opioid epidemic; therefore, while the online PDMP was not mandated until 2018, it has been available for provider use since 2009 and may have indirectly influenced the preintervention group. Additionally, some patients may seek nonprescription drugs (such as medical cannabis) as an alternative to opioid analgesics, which was not evaluated in the present analysis. Moreover, prescribed MME are only a surrogate for actual opioid consumption. Additionally, because of confounding and high correlation of many of the prognostic variables, a multivariate analysis was not performed for the predictive variables for increased opioid use, as noted in Table 3. As this study comprises a small subset of oropharyngeal patients, it may not apply to scenarios outside of on-treatment RT-associated pain in patients with head and neck cancers. Lastly, this cohort underscores that with a retrospective study, a larger sample size is always preferred because any estimation and inference are more stable and reliable. However, with our current sample size of 64 patients, we maintain that our response rate is at least a reasonable approximation that could be confirmed with a much larger cohort of patients, achievable only through a future multicenter collaboration and expanding the timeframe for analysis.
Conclusions
Mandated use of PDMPs did not influence opioid analgesics prescription patterns nor patient-reported pain levels in individuals on active therapy with highly conformal RT, either IMRT or PT, for squamous cell carcinoma of the oropharynx. Despite the high utilization of opioids during therapy, few patients remained on opioids beyond 3 months after therapy; however, tonsillar primary sites and baseline alcohol use were associated with a higher total of prescribed MME.
Acknowledgments
Funding: None.
Footnote
Reporting Checklist: The authors have completed the STROBE reporting checklist. Available at https://apm.amegroups.com/article/view/10.21037/apm-23-404/rc
Data Sharing Statement: Available at https://apm.amegroups.com/article/view/10.21037/apm-23-404/dss
Peer Review File: Available at https://apm.amegroups.com/article/view/10.21037/apm-23-404/prf
Conflicts of Interest: All authors have completed the ICMJE uniform disclosure form (available at https://apm.amegroups.com/article/view/10.21037/apm-23-404/coif). The authors have no conflicts of interest to declare.
Ethical Statement: The authors are accountable for all aspects of the work in ensuring that questions related to the accuracy or integrity of any part of the work are appropriately investigated and resolved. The study was conducted in accordance with the Declaration of Helsinki (as revised in 2013). The study was approved by the University of Florida’s Institutional Review Board (No. IRB201801009) and informed consent was obtained from all individual participants.
Open Access Statement: This is an Open Access article distributed in accordance with the Creative Commons Attribution-NonCommercial-NoDerivs 4.0 International License (CC BY-NC-ND 4.0), which permits the non-commercial replication and distribution of the article with the strict proviso that no changes or edits are made and the original work is properly cited (including links to both the formal publication through the relevant DOI and the license). See: https://creativecommons.org/licenses/by-nc-nd/4.0/.
References
- Champagne-Langabeer T, Madu R, Giri S, et al. Opioid prescribing patterns and overdose deaths in Texas. Subst Abus 2021;42:161-7. [Crossref] [PubMed]
- Rutkow L, Chang HY, Daubresse M, et al. Effect of Florida's Prescription Drug Monitoring Program and Pill Mill Laws on Opioid Prescribing and Use. JAMA Intern Med 2015;175:1642-9. [Crossref] [PubMed]
- Strickler GK, Zhang K, Halpin JF, et al. Effects of mandatory prescription drug monitoring program (PDMP) use laws on prescriber registration and use and on risky prescribing. Drug Alcohol Depend 2019;199:1-9. [Crossref] [PubMed]
- Shev AB, Wintemute GJ, Cerdá M, et al. Prescription Drug Monitoring Program: Registration and Use by Prescribers and Pharmacists Before and After Legal Mandatory Registration, California, 2010-2017. Am J Public Health 2018;108:1669-74. [Crossref] [PubMed]
- Wen K, Johnson P, Jeng PJ, et al. State Policies for Prescription Drug Monitoring Programs and Adverse Opioid-related Hospital Events. Med Care 2020;58:610-6. [Crossref] [PubMed]
- Horwitz JR, Davis C, McClelland L, et al. The importance of data source in prescription drug monitoring program research. Health Serv Res 2021;56:268-74. [Crossref] [PubMed]
- Graetz I, Yarbrough CR, Hu X, et al. Association of Mandatory-Access Prescription Drug Monitoring Programs With Opioid Prescriptions Among Medicare Patients Treated by a Medical or Hematologic Oncologist. JAMA Oncol 2020;6:1102-3. [Crossref] [PubMed]
- Arthur J, Bruera E. Balancing opioid analgesia with the risk of nonmedical opioid use in patients with cancer. Nat Rev Clin Oncol 2019;16:213-26. [Crossref] [PubMed]
- Tang M, Arthur J, Reddy A, et al. Deficiencies with the Use of Prescription Drug Monitoring Program in Cancer Pain Management: A Report of Two Cases. J Palliat Med 2021;24:751-4. [Crossref] [PubMed]
- Ellyson AM, Grooms J, Ortega A. Flipping the script: The effects of opioid prescription monitoring on specialty-specific provider behavior. Health Econ 2022;31:297-341. [Crossref] [PubMed]
- Paice JA. Risk Assessment and Monitoring of Patients with Cancer Receiving Opioid Therapy. Oncologist 2019;24:1294-8. [Crossref] [PubMed]
- Hincapie-Castillo JM, Goodin A, Possinger MC, et al. Changes in Opioid Use After Florida's Restriction Law for Acute Pain Prescriptions. JAMA Netw Open 2020;3:e200234. [Crossref] [PubMed]
- Mercadante S. Breakthrough pain in cancer patients: prevalence, mechanisms and treatment options. Curr Opin Anaesthesiol 2015;28:559-64. [Crossref] [PubMed]
- Mercadante S, Dardanoni G, Salvaggio L, et al. Monitoring of opioid therapy in advanced cancer pain patients. J Pain Symptom Manage 1997;13:204-12. [Crossref] [PubMed]
- Konopka-Filippow M, Zabrocka E, Wójtowicz A, et al. Pain management during radiotherapy and radiochemotherapy in oropharyngeal cancer patients: single-institution experience. Int Dent J 2015;65:242-8. [Crossref] [PubMed]
- McDermott JD, Eguchi M, Stokes WA, et al. Short- and Long-term Opioid Use in Patients with Oral and Oropharynx Cancer. Otolaryngol Head Neck Surg 2019;160:409-19. [Crossref] [PubMed]
- Schmidt BL. The Neurobiology of Cancer Pain. J Oral Maxillofac Surg 2015;73:S132-5. [Crossref] [PubMed]
- Silver N, Dourado J, Hitchcock K, et al. Chronic opioid use in patients undergoing treatment for oropharyngeal cancer. Laryngoscope 2019;129:2087-93. [Crossref] [PubMed]
- House Bill 21 (2018) - The Florida Senate. Available online: https://www.flsenate.gov/Session/Bill/2018/21 [accessed on December 16, 2021].
- Buckenmaier CC 3rd, Galloway KT, Polomano RC, et al. Preliminary validation of the Defense and Veterans Pain Rating Scale (DVPRS) in a military population. Pain Med 2013;14:110-23. [Crossref] [PubMed]
- Trotti A, Colevas AD, Setser A, et al. CTCAE v3.0: development of a comprehensive grading system for the adverse effects of cancer treatment. Semin Radiat Oncol 2003;13:176-81. [Crossref] [PubMed]
- Cox JD, Stetz J, Pajak TF. Toxicity criteria of the Radiation Therapy Oncology Group (RTOG) and the European Organization for Research and Treatment of Cancer (EORTC). Int J Radiat Oncol Biol Phys 1995;31:1341-6. [Crossref] [PubMed]
- van den Beuken-van Everdingen MH, de Rijke JM, Kessels AG, et al. Prevalence of pain in patients with cancer: a systematic review of the past 40 years. Ann Oncol 2007;18:1437-49. [Crossref] [PubMed]
- Holtzman AL, Williams JP, Hutchinson DF, et al. Improving Patient-reported Pain During Radiotherapy Through Nurse Involvement and Patient Education. Am J Clin Oncol 2018;41:1028-30. [Crossref] [PubMed]
- Holtzman AL, Pereira DB, Yeung AR. Implementation of depression and anxiety screening in patients undergoing radiotherapy. BMJ Open Qual 2018;7:e000034. [Crossref] [PubMed]
- O'steen L, Lockney NA, Morris CG, et al. A Prospective Randomized Trial of the Influence of Music on Anxiety in Patients Starting Radiation Therapy for Cancer. Int J Radiat Oncol Biol Phys 2021;109:670-4. [Crossref] [PubMed]
- Clark M, Isaacks-Downton G, Wells N, et al. Use of preferred music to reduce emotional distress and symptom activity during radiation therapy. J Music Ther 2006;43:247-65. [Crossref] [PubMed]
- Sio TT, Le-Rademacher JG, Leenstra JL, et al. Effect of Doxepin Mouthwash or Diphenhydramine-Lidocaine-Antacid Mouthwash vs Placebo on Radiotherapy-Related Oral Mucositis Pain: The Alliance A221304 Randomized Clinical Trial. JAMA 2019;321:1481-90. [Crossref] [PubMed]
- Campos TM, do Prado Tavares Silva CA, Sobral APT, et al. Photobiomodulation in oral mucositis in patients with head and neck cancer: a systematic review and meta-analysis followed by a cost-effectiveness analysis. Support Care Cancer 2020;28:5649-59. [Crossref] [PubMed]
- Iovoli AJ, Hermann GM, Ma SJ, et al. Association of Nonsteroidal Anti-inflammatory Drug Use With Survival in Patients With Squamous Cell Carcinoma of the Head and Neck Treated With Chemoradiation Therapy. JAMA Netw Open 2020;3:e207199. [Crossref] [PubMed]
- Smith DK, Cmelak A, Niermann K, et al. Preventive use of gabapentin to decrease pain and systemic symptoms in patients with head and neck cancer undergoing chemoradiation. Head Neck 2020;42:3497-505. [Crossref] [PubMed]
- Bar Ad V, Weinstein G, Dutta PR, et al. Gabapentin for the treatment of pain related to radiation-induced mucositis in patients with head and neck tumors treated with intensity-modulated radiation therapy. Head Neck 2010;32:173-7. [Crossref] [PubMed]
- Yang W, McNutt TR, Dudley SA, et al. Predictive Factors for Prophylactic Percutaneous Endoscopic Gastrostomy (PEG) Tube Placement and Use in Head and Neck Patients Following Intensity-Modulated Radiation Therapy (IMRT) Treatment: Concordance, Discrepancies, and the Role of Gabapentin. Dysphagia 2016;31:206-13. [Crossref] [PubMed]
- Cook A, Modh A, Ali H, et al. Randomized Phase 3, Double-Blind, Placebo-Controlled Study of Prophylactic Gabapentin for the Reduction of Oral Mucositis Pain During the Treatment of Oropharyngeal Squamous Cell Carcinoma. Int J Radiat Oncol Biol Phys 2022;112:926-37. [Crossref] [PubMed]
- Gunn GB, Garden AS, Ye R, et al. Proton Therapy for Head and Neck Cancer: A 12-Year, Single-Institution Experience. Int J Part Ther 2021;8:108-18. [Crossref] [PubMed]

