Prednisone combined with letrozole reduced risk of ovarian hyperstimulation syndrome (OHSS) in women undergoing long-term gonadotropin-releasing hormone analog treatment
Introduction
Gonadotrophin-releasing hormone agonists (GnRHa) are generally used in assisted reproduction technology (ART) cycles to prevent luteinizing (LH) surge during controlled ovarian hyperstimulation (COH) prior to planned oocyte extraction (1). Diverse GnRHa protocols are created to ameliorate clinical results (1). A few studies show evidence of higher clinical pregnancy rates the long protocol group (1). Long protocol: GnRHa is administered from either the second day of the menstrual cycle (long follicular protocol) or the mid-luteal phase (21st day) of the previous cycle (long luteal protocol), sustaining at least two weeks before starting stimulation (to achieve the purpose of inhibiting ovarian activity) and continued up until human chorionic gonadotropin (hCG) is given. Short protocol: GnRHa is administered from the first or second day of the menstrual cycle to the day of hCG administration (1). Comparing long GnRHa protocols and short GnRHa protocols, there is no conclusive evidence of a difference in ongoing pregnancy rates and live births. In addition, prolonged pituitary down-regulation in the early follicular phase can work with effect as in the mid-luteal phase in fresh IVF/ICSI-ET cycles (2).
Ovarian hyperstimulation syndrome (OHSS) is still a frustrating iatrogenic syndrome occurring during COH. It can cause cystic enlargement of the ovary, increased capillary permeability, and fluid accumulation in the interstitial space, resulting in peritoneal and pleural effusion and is accompanied by local or systemic edema (3). The incidence of severe OHSS ranges from 0.1% to 2%, while moderate OHSS has been reported in the range of 3% to 7% (4). Although the exact mechanism of OHSS is unclear, several systems and mediators are thought to play a role in the pathophysiological processes of OHSS such as ovarian renin–angiotensin system, prostaglandins, histamines, cytokines, vascular Endothelial Growth Factor (VEGF), pigment epithelium-derived factor (PEDF). Various modified protocols are used to reduce the occurrence rate of OHSS, such as Gonadotrophin-releasing hormone antagonist (GnRH-Ant) protocol (5), GnRH agonist (GnRHa) trigger (6) or ‘freeze-all’ programs (7), and coasting (withholding gonadotrophins) (3). Administering medication is another strategy to reduce the occurrence rate of OHSS, and these medications include metformin (8,9), clomiphene citrate (10), cabergoline or quinagolide (11), vascular endothelial growth factor (12) albumin (13), progesterone (14), and letrozole (15) amongst others.
Letrozole is a new generation of an aromatase inhibitors, which is a synthetic benzyl triazole derivative. It can reduce estrogen by inhibiting aromatase from eliminating the stimulating effect of estrogen by administration before the day of hCG or during the luteal phase. The administration of 2.5 mg of letrozole during the luteal phase impacts corpus luteum (CL) function and thus lowers the occurrence rate of OHSS by reducing the potential risk that high E2 levels pose (16). In PCOS patients with fairly high Anti-Müllerian Hormone (AMH) levels, GnRH-Ant protocols co-administration with letrozole starting from day 3 to day 7 of the menstrual cycle reduces the incidence of OHSS, than in conventional GnRH-Ant protocols (14). Qingyun Mai’ study demonstrated that letrozole showed more positive effect on the prevention of moderate and severe early-onset OHSS than aspirin in women with high risk (17).
Glucocorticoids (GCs) are applied in clinical cases to reduce the risk of OHSS. It is controversial whether the addition of GCs makes sense in IVF/ICSI treatments. Lainas et al. indicated that methylprednisolone play a role in preventing severe OHSS in patients with in vitro fertilization (IVF) (18). However, Mohammadi Yeganeh’s study (19) found no benefit for the routine use of GCs in IVF/ICSI treatments. Prednisone is a kind of anti-inflammatory and anti-allergic glucocorticoid, which can reduce the capillary permeability and inflammation effusion, inhibit the proliferation of connective tissue and release substances such as histamine.
Both variant protocols and variant populations will lead to variant results. It has been reported that treatment with 7.5 mg letrozole on trigger day was useful in limiting OHSS in patients at high risk of OHSS undergoing whole embryo frozen transfer (20). In another study, 2.5 mg of letrozole may reduce the incidence of OHSS by decreasing serum E2 levels during the luteal phase (21). However, letrozole might affect endometrium receptivity and further influence clinical outcomes. To date, few studies have investigated whether the combined application of letrozole and prednisone can decrease the risk of OHSS. This study evaluated whether the addition of letrozole and prednisone plays a positive role in preventing severe OHSS in the prolonged gonadotropin-releasing hormone agonist protocol in the early follicular phase. We present the following article in accordance with the STARD reporting checklist (available at https://dx.doi.org/10.21037/apm-21-1699).
Methods
Study design
All procedures performed in this study involving human participants were in accordance with the Declaration of Helsinki (as revised in 2013). This study was approved by the Medical Ethics Committee of the Second Affiliated Hospital of Wenzhou Medical University (2021-k-48-02) and informed consent was taken from all the patients.
This retrospective clinical study included 296 cases undergoing IVF or intracytoplasmic sperm injection (ICSI) cycles in the Reproductive Center and Department of Obstetrics and Gynecology of The Second Affiliated Hospital and Yuying Children’s Hospital of Wenzhou Medical University from March 1, 2018, to October 31, 2018. Inclusion criteria for this retrospective study were: women treated with prolonged gonadotropin-releasing hormone agonist protocol in the early follicular phase used for ovarian stimulation, aged 20–40 years, both ovaries intact, and normal renal, liver, and hematological indices. No participant had received interventional medication or surgery within the three months before recruitment. Exclusion criteria were: moderate/severe endometriosis, poor or high response to or more than two previous cycles of IVF treatment, and concomitant use of medication that could interfere with the absorption and metabolism of the letrozole. According to the administration of letrozole or prednisone, women were divided into a C group (N=150), an LE group (N=86), and a LE + Pre group (N=60). In the LE group, patients had given letrozole 2.5 mg per day for two or three days when the level of E2 was up to 4,000 pg/mL during ovarian stimulation and stopped before the day of oocyte retrieval. In the LE + Pre group, patients were given prednisone when administered letrozole, according to guidelines based on a clinical picture, drug company recommendations and the treating physician’s discretion. The patient flow diagram was shown in Figure 1.
Clinical protocols
The 296 women in this study underwent the prolonged gonadotropin-releasing hormone agonist protocol as follows. A single full-dose injection of 3.75 mg GnRHa (Triptorelin, Ferring, Kiel, Germany) was administered on day 3 to day 5 of menstruation. Ovarian stimulation with gonadotropin began 30–38 days later. When no antral follicles larger than 5 mm, E2 concentration less than 50 pg/mL, serum LH levels less than 5 U/L and endometrium thickness less than 5 mm, it is confirmed that successful pituitary down-regulation was achieved. COH with recombinant follicle-stimulating hormone (FSH) (Gonal-F, Merck Serono, Aubonne, Switzerland) was started at one to three ampules (75–225 IU), and the dose administered was determined using antral follicular count (AFC), body mass index (BMI), basal FSH level, as well as the previous ovarian response of patients. Serum E2, LH, and progesterone (P) levels were quantified to estimate ovarian response. At the late stage of follicular growth when the LH level was <0.2 U/L, recombinant LH (r-LH) (recombinant-LH, Merck Serono, Aubonne, Switzerland) was added. The development of follicles was monitored by transvaginal ultrasound. When the two lead follicles reached a mean diameter of at least 18 mm, one dose of 4,000–10,000 U hCG (Livzon, Guangdong, China) trigger was administered for final oocyte maturation with retrieval occurring 36–37 h later using vaginal ultrasound guidance. Luteal phase support was backed up by 200 mg orally micronized progesterone (Utrogestan, Capsugel, Besins Manufacturing Belgium, Bruxelles, Belgium), administrated twice daily, and progesterone vaginal gel prolonged-release (Crinone, Merck Serono, Hertfordshire, United Kingdom), 90 mg daily from the day after oocyte retrieval. Serum β-hCG confirmation was performed 14 days after blastocyst transfer. The occurrence rate of severe OHSS was defined as an ovary diameter larger than 12 cm, massive ascites, hydrothorax, and/or pericardial effusion (4). Clinical pregnancy was defined as a pulsating pouch on transvaginal ultrasound at 4–5 weeks after embryo transfer. Implantation rate was calculated as the ratio of the number of gestational sacs (s) to the number of fresh embryos transferred. Early abortion was defined as a clinical pregnancy failing to reach week 12 of gestation. Ongoing pregnancy was defined as a clinical pregnancy that continued past week 12 of gestation.
Laboratory protocols
At 4–6 h after oocyte exaction, oocytes were fertilized by IVF or ICSI. Embryos were cultured at 37 °C under a humidified mixture of 6% CO2, 8% O2, and 89% N2. Embryo score was performed as described in Alpha Scientists in Reproductive Medicine and ESHRE Special Interest Group of Embryology. Briefly, normal fertilization was confirmed by the presence of two prokaryotes and two polar bodies at 16-18 hours after fertilization. Cleavage-stage embryo score depended on the number of blastomeres, blastomere size, and the proportion of fragments. The blastocyst score included the stage of expansion of the blastocyst cavity, blastocyst density, number of cell masses in the blastocyst, cohesion and regularity of trophoblastic layer (Alpha Scientists in Reproductive Medicine and ESHRE Special Interest Group of Embryology, 2011). Under abdominal ultrasound guidance, the blastocyst was transferred on the fifth day of the incubation.
Statistical analysis
Data statistical analysis was performed using SPSS version 24.0 software. Continuous numerical variables were presented as the mean ± standard deviation (SD). Categorical variables were presented as percentages. ANOVA was used to compare the differences between continuous numerical variables, and a chi-squared test was performed to compare the differences between categorical variables. Receiver operator characteristic (ROC) curve analyses were used to show the ability of progesterone level on a trigger day to predict failure to reach clinical pregnancy. P values <0.05 were considered statistically significant.
Results
Demographic and cycle characteristics
The comparison of demographic and cycle characteristics between the three groups is displayed in Table 1. 296 cycles were included in the study: 150 cycles in the C group, 86 cycles in the LE group, and 60 cycles in the LE + Pre group. One cycle in the LE group and four cycles in the C group were lost to follow up. Data from 146 cycles in the C group, 85 cycles in the LE group, and 60 cycles in the LE + Pre group were analyzed, covering 291 cycles. There were no differences in BMI and baseline LH among three groups. Women in the C group had significantly less baseline AFC than those from the LE group (P<0.001) and the LE + Pre group (P<0.001). Though significant differences were found in age between the three groups, the pairwise comparison showed no difference. Baseline FSH was lower in the LE group than the LE + Pre group (P=0.011). After down-regulation, all FSH, LH, P, and E2 levels and endometrial thickness were similar between the three groups (P>0.05). However, the number of follicles was significantly different between the three groups (P<0.001). During the ovarian stimulation, the preliminary gonadotropin dose was similar between the three groups (P=0.151); however, the maximum daily gonadotropin dose (P=0.008), the total amount of gonadotropin (P=0.001), and the gonadotropin duration (P=0.011) were significantly different among the three groups. No difference was found in the total amount of gonadotropin and gonadotropin duration between the LE group and the LE + Pre group, while the maximum daily gonadotropin dose was higher in the LE + Pre group than the LE group (P=0.034). On the trigger day, a significant difference was found between three groups in LH (P=0.020) and E2 (P<0.001), while no difference was found between each pairwise comparison. There was no difference between the three groups in E2/oocyte (P=0.329) and P/E2 (P=0.319). The dose of hCG to induce the trigger was significantly lower in the LE group than in the LE + Pre group based on the treating physician’s dose protocol (P=0.004).
Full table
Oocytes, embryos, and clinical outcome
The comparison of oocytes, embryos, and clinical outcomes between the three groups was displayed in Table 2. The number of retrieved oocytes and mature oocytes were significantly different between the three groups (P<0.001, P<0.001, respectively). The number of fertilized oocytes and cleaved oocytes were also significantly different between the three groups (P<0.001, P<0.001, respectively). No difference was found in the number of retrieved oocytes (P=0.816), mature oocytes (P=0.404), fertilized oocytes (P=0.401), and cleaved oocytes (P=0.307) between the LE group and the LE + Pre group. However, the ratio of good-quality embryo rate was similar between the three groups (P=0.234). Blastocyst formation was significantly different among the three groups (P<0.001) but similar between the LE group and the LE + Pre group (P=0.979). In the LE group, the occurrence rate of severe OHSS was significantly higher than that in the LE + Pre group (P=0.022). The embryo transfer rate was significantly different between the three groups (P<0.001) but was similar between the LE group and the LE + Pre group (P=0.512). No significant difference in clinical pregnancy rate was found between the three groups (P=0.383). However, the LE group’s ongoing pregnancy rate was significantly higher than the LE + Pre group (P=0.025).
Full table
Effect of progesterone elevation on pregnancy rate in the LE group and the LE + Pre group
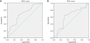
The addition of prednisone might impact the progesterone level due to the structural similarities between the two hormones (22). We further analyzed the pregnant women and non-pregnant women in 145 letrozole-treated cycles. After comparing the pregnancy group and non-pregnancy group, we found, surprisingly, that the P level on the trigger day was significantly low in the pregnancy group (0.85 vs. 1.10, P=0.001, Table 3). Moreover, LH level was significantly higher in the pregnancy group than non-pregnancy group (0.91 vs. 0.71, P=0.027, Table 3). Following this analysis, ROC was applied to verify whether P or LH level on the trigger day could predict the clinical pregnancy outcome and the resultant ROC curve showed that the progesterone level on the trigger day did predict a successful clinical pregnancy. The AUC was 0.684, and the optimal progesterone cut-off value was 0.895 ng/mL, providing specificity of 68.3% and sensitivity of 65.7% (Figure 2A). This means that women were more likely to pregnant when the progesterone level was not over 0.895 ng/mL. The predictive ability of other hormones was not found.
Full table
Discussion
Results of our study implied that a combination of letrozole and prednisone significantly reduced the occurrence rate of severe OHSS compared with administration of letrozole only. Furthermore, we found that the P level on the trigger day had a predictive function for pregnancy outcome. That is, a P level on hCG-day less than 0.895 ng/mL signified a greater chance to achieve clinical pregnancy outcomes in women with the prolonged GnRHa protocol in the early follicular phase. In addition, the results of the present study suggest that sharply reduced E2 level in the LE + Pre group around trigger day had no side effects on embryo quality or blastocyst formation.
Recently, letrozole has been recommended to reduce E2 levels, reducing the occurrence rate of severe OHSS (16). However, conclusions about letrozole reducing the occurrence rate of severe OHSS are still inconsistent. Mai et al. reported that letrozole exhibited a powerful effect on the decline in the incidence of moderate and severe early-onset ovarian hyperstimulation syndrome (17). In contrast, the results of Sandoval et al. (23) showed letrozole could reduce the E2 level but did not influence decreasing the risk of OHSS for PCOS women. It has been reported that young age (24) and higher AFC (25) increased the occurrence rate of OHSS. Notwithstanding, in our study, the age of the LE group was relatively younger than the C group, and the number of AFC was statistically higher in the LE group. AMH level might affect the function of letrozole, reducing the risk of OHSS. It has been found that for those women with PCOS with AMH level >50 pmol/L, the rate of moderate and mild OHSS in the LE group decreased to five times lower than those without letrozole treatment (24). It would have been useful to have the AMH level of all the women in this study. Thus, it was reasonable to postulate that AMH in the LE group might well not be low. In our study, higher level of E2 on trigger day, younger age and more AFC in the LE group might mask the function of letrozole on reducing the risk of OHSS.
Higher levels of E2 will directly result in augmenting the risk of OHSS (26). In the present study, though the total dosage of gonadotropins and the length of gonadotropins administered were fewer and shorter than those in women from the C group, E2 levels on hCG day in the LE group was significantly higher than those from the C group. Levels of LH on hCG day in the LE group were significantly higher than those from the C group and might account for the higher level of E2 from the LE group (27). We postulate that appropriately reducing the dosage of preliminary gonadotropin might lower the high levels of E2. In addition, it has been reported that high E2 levels on trigger days had adverse effects on pregnancy outcomes (23). In the present study, the significantly diminished ongoing pregnancy rate was found in the LE group, which might be attributable to the higher E2 level damaging endometrial receptivity. The results of this study are in accordance with Sandoval’s study (23). Despite the significantly diminished ongoing pregnancy rate found in the LE group, the present study results demonstrated a similar ratio of good-quality cleavage stage embryos and blastocyst formation rate, as well as clinical pregnancy rate between the LE group and the C group. This suggests that letrozole addition did not damage the potential for embryonic development (28). Juan S Sandoval (23) found that when E2/oocyte ratio was more than 400 pg/mL oocyte, the clinical pregnancy rate, pregnancy duration rate and live birth rate of normal responders were lower than <200 pg/mL oocyte and 200–300 pg/mL oocyte, which may reflect the noxious impact of higher levels of E2. In our study, the E2/oocyte ratio was slightly higher in the LE group than the C group on the trigger day, but there were no significant differences. However, the ratio of P and E2 was 1.65 in the C group, significantly higher than 0.33 in the LE group. Thus, the E2/oocyte ratio might reflect the damage of a significant reduction in E2 on the receptivity of the endometrium (22).
Progesterone also affected pregnancy outcomes in women with IVF/ICSI. A retrospective analysis involving 7,451 patients revealed that the rates of implantation, clinical pregnancy, ongoing pregnancy, and live birth were significantly decreased in patients with P/E2 <0.25 on the trigger day administration (28). As for an optimal level of progesterone on the trigger day, there is no uniform standard. Bosch et al. reported that patients with serum progesterone levels of ≤1.5 ng/mL on the trigger day administration would have significantly higher ongoing pregnancy rates (29). A recent study further confirmed that serum progesterone levels >1.5 ng/mL might cause a negative effect on ongoing pregnancy outcomes (30). However, unlike the previous two studies, Venetis et al. analyzed over 60,000 cycles and found that when the progesterone level on the trigger day administration was over 0.8 ng/mL, it would negatively affect it on pregnancy achievement (31). In accordance with previous studies, we evaluated the pregnancy rate in the present study and found it was significantly related to the progesterone level on the trigger day in the LE group. Further, we analyzed the relationship using the ROC curve, and results of the ROC curve showed the optimal progesterone cut-off value on the trigger day was 0.895 ng/mL, providing specificity of 68.3% and sensitivity of 65.7% to predict success of a clinical pregnancy. These results were in line with the opinion that a too high level of P on hCG day negatively affected pregnancy outcomes (30). This means that when the progesterone level is higher than 0.895 ng/mL, clinical pregnancy is very likely to fail. Different protocols may result in different cut-offs of progesterone (32), which might explain the differences in cut-off in the literature outlined in the literature. Besides different protocols, the P level on hCG day is also relevant to the respondence of the women as well. Georg Griesinger pointed out the incidence of elevated P was in line with ovarian response. Elevated P level was independently associated with a decreased chance of pregnancy in low to normal responders using an rFSH/GnRH antagonist protocol. However, no similar results were found in high responders (33). Consequently, the prediction value of progesterone 0.895 ng/mL on pregnancy outcomes in this study was only for those normal responders with prolonged GnRHa protocol.
GCs are various steroid hormones that improve ovarian response, increase pregnancy rates, and reduce cycle cancellation rates (34). Through inhibiting the production of inflammatory mediators and suppressing VEGF gene expression, GCs can prevent vasodilatation and vascular permeability (18). Prednisone is a kind of GCs, and can inhibit the proliferation of connective tissue and release substances such as histamine, which may also help in the prevention of OHSS and relief the clinical symptoms (35). In patients with early and late OHSS, a significant enhancement of cortisol will be observed probably due to the body’s natural repair mechanism (36). However, it was still uncertain whether prednisone treatment was effective on the decreased risk of OHSS. Lainas et al. indicated that administration of methylprednisolone could prevent severe ovarian hyperstimulation syndrome in patients undergoing IVF (18). Conversely, in PCOS patients, methylprednisolone was reported as unable to reduce the incidence and severity of OHSS, and no improvement in clinical outcomes was observed either (19).
In the present study, we found that letrozole, together with prednisone, significantly reduced the incidence of severe OHSS. The inhibitory effect of prednisone on OHSS may be realized by lowering testosterone mediated by LH and thus lowering progesterone (37). In this study, FSH level at baseline was found to be higher in the LE + Pre group, whereas elevated FSH is linked with early pregnancy loss in IVF (38). Coincident with this, in the present study, in the LE group, the ongoing pregnancy rate was significantly lower in the LE + Pre group than in the LE group. Whether a higher baseline FSH level affects the ongoing pregnancy rate or early pregnancy loss warrants further evaluation, overall; however, the combination of prednisone and letrozole could significantly reduce the occurrence rate of severe OHSS. However, the side effects of prednisone on an ongoing pregnancy must be taken seriously.
AMH is closely related to the occurrence rate of OHSS (24). It was a limitation of this study that there was limited AMH data. In addition, factors of relatively younger age, slightly higher dose of initial gonadotropin, and more AFCs in women from the LE group might impact the results of this study. Thus, though the letrozole was applied with 2–3 days, the E2 level on trigger day was still higher in this group. This may also be one reason why letrozole did not reduce OHSS risk in our study.
The benefits from the coadministration of letrozole and prednisone founded in our study suggest the clinical feasibility of the protocol. Besides, the threshold of 0.895 ng/mL progesterone level also helped clinically predict the clinical pregnancy. Clinicians can try the coadministration of letrozole and prednisone to treat and monitor the progesterone level for further intervention. In addition, new schemes related to ovarian renin–angiotensin system, prostaglandins, histamines, cytokines, VEGF, PEDF can also be developed.
Conclusions
Administration of letrozole accompanied with prednisolone resulted in a lower risk of severe OHSS than the application of letrozole alone. Furthermore, results of the present study surprisingly showed a progesterone level on trigger day over 0.895 ng/mL in letrozole-treated patients may lead to a detrimental effect on clinical pregnancy. It must be noted that this conclusion is only for women with a prolonged GnRHa protocol in the early follicular phase.
Acknowledgments
Funding: The study was supported by the Health Commission of Zhejiang Province (2018KY521), Zhejiang Provincial Clinical Medicine Key Level Discipline Open Fund of Wenzhou Medical University (LKFJ040) and Doctoral Research Initiation Fund of the Second Affiliated Hospital of Wenzhou Medical University.
Footnote
Reporting Checklist: The authors have completed the STARD reporting checklist. Available at https://dx.doi.org/10.21037/apm-21-1699
Data Sharing Statement: Available at https://dx.doi.org/10.21037/apm-21-1699
Conflicts of Interest: All authors have completed the ICMJE uniform disclosure form (available at https://dx.doi.org/10.21037/apm-21-1699). The authors have no conflicts of interest to declare.
Ethical Statement: The authors are accountable for all aspects of the work in ensuring that questions related to the accuracy or integrity of any part of the work are appropriately investigated and resolved. All procedures performed in this study involving human participants were in accordance with the Declaration of Helsinki (as revised in 2013). This study was approved by the Medical Ethics Committee of the Second Affiliated Hospital of Wenzhou Medical University (2021-k-48-02) and informed consent was taken from all the patients.
Open Access Statement: This is an Open Access article distributed in accordance with the Creative Commons Attribution-NonCommercial-NoDerivs 4.0 International License (CC BY-NC-ND 4.0), which permits the non-commercial replication and distribution of the article with the strict proviso that no changes or edits are made and the original work is properly cited (including links to both the formal publication through the relevant DOI and the license). See: https://creativecommons.org/licenses/by-nc-nd/4.0/.
References
- Siristatidis CS, Gibreel A, Basios G, et al. Gonadotrophin-releasing hormone agonist protocols for pituitary suppression in assisted reproduction. Cochrane Database Syst Rev 2015;CD006919 [Crossref] [PubMed]
- Ying Y, Yang T, Zhang H, et al. Prolonged pituitary down-regulation with full-dose of gonadotropin-releasing hormone agonist in different menstrual cycles: a retrospective cohort study. PeerJ 2019;7:e6837 [Crossref] [PubMed]
- Mourad S, Brown J, Farquhar C. Interventions for the prevention of OHSS in ART cycles: an overview of Cochrane reviews. Cochrane Database Syst Rev 2017;1:CD012103 [Crossref] [PubMed]
- Blumenfeld Z. The Ovarian Hyperstimulation Syndrome. Vitam Horm 2018;107:423-451. [Crossref] [PubMed]
- Lambalk CB, Banga FR, Huirne JA, et al. GnRH antagonist versus long agonist protocols in IVF: a systematic review and meta-analysis accounting for patient type. Hum Reprod Update 2017;23:560-579. [Crossref] [PubMed]
- Dosouto C, Haahr T, Humaidan P. Gonadotropin-releasing hormone agonist (GnRHa) trigger - State of the art. Reprod Biol 2017;17:1-8. [Crossref] [PubMed]
- Wong KM, van Wely M, Mol F, et al. Fresh versus frozen embryo transfers in assisted reproduction. Cochrane Database Syst Rev 2017;3:CD011184 [Crossref] [PubMed]
- Jacob SL, Brewer C, Tang T, et al. A short course of metformin does not reduce OHSS in a GnRH antagonist cycle for women with PCOS undergoing IVF: a randomised placebo-controlled trial. Hum Reprod 2016;31:2756-64. [Crossref] [PubMed]
- Kalem MN, Kalem Z, Gurgan T. Effect of metformin and oral contraceptives on polycystic ovary syndrome and IVF cycles. J Endocrinol Invest 2017;40:745-52. [Crossref] [PubMed]
- Haas J, Casper RF. In vitro fertilization treatments with the use of clomiphene citrate or letrozole. Fertil Steril 2017;108:568-571. [Crossref] [PubMed]
- Taheripanah R, Vasef M, Zamaniyan M, et al. Comparison of Cabergoline and Quinagolide in Prevention of Severe Ovarian Hyperstimulation Syndrome among Patients Undergoing Intracytoplasmic Sperm Injection. Int J Fertil Steril 2018;12:1-5. [PubMed]
- Bishop CV, Lee DM, Slayden OD, et al. Intravenous neutralization of vascular endothelial growth factor reduces vascular function/permeability of the ovary and prevents development of OHSS-like symptoms in rhesus monkeys. J Ovarian Res 2017;10:41. [Crossref] [PubMed]
- Aboulghar M, Evers JH, Al-Inany H. Intra-venous albumin for preventing severe ovarian hyperstimulation syndrome. Cochrane Database Syst Rev 2002;CD001302 [PubMed]
- Yanushpolsky EH. Luteal phase support in in vitro fertilization. Semin Reprod Med 2015;33:118-27. [Crossref] [PubMed]
- Chen Y, Yang T, Hao C, et al. A Retrospective Study of Letrozole Treatment Prior to Human Chorionic Gonadotropin in Women with Polycystic Ovary Syndrome Undergoing In Vitro Fertilization at Risk of Ovarian Hyperstimulation Syndrome. Med Sci Monit 2018;24:4248-53. [Crossref] [PubMed]
- Garcia-Velasco JA, Quea G, Piro M, et al. Letrozole administration during the luteal phase after ovarian stimulation impacts corpus luteum function: a randomized, placebo-controlled trial. Fertil Steril 2009;92:222-5. [Crossref] [PubMed]
- Mai Q, Hu X, Yang G, et al. Effect of letrozole on moderate and severe early-onset ovarian hyperstimulation syndrome in high-risk women: a prospective randomized trial. Am J Obstet Gynecol 2017;216:42.e1-10. [Crossref] [PubMed]
- Lainas T, Petsas G, Stavropoulou G, et al. Administration of methylprednisolone to prevent severe ovarian hyperstimulation syndrome in patients undergoing in vitro fertilization. Fertil Steril 2002;78:529-33. [Crossref] [PubMed]
- Mohammadi Yeganeh L, Moini A, Shiva M, et al. Methylprednisolone for prevention of ovarian hyperstimulation syndrome in patients with polycystic ovarian syndrome undergoing in-vitro fertilisation: a randomised controlled trial. J Obstet Gynaecol 2018;38:241-6. [Crossref] [PubMed]
- He Q, Liang L, Zhang C, et al. Effects of different doses of letrozole on the incidence of early-onset ovarian hyperstimulation syndrome after oocyte retrieval. Syst Biol Reprod Med 2014;60:355-60. [Crossref] [PubMed]
- Wang YQ, Luo J, Xu WM, et al. Can steroidal ovarian suppression during the luteal phase after oocyte retrieval reduce the risk of severe OHSS? J Ovarian Res 2015;8:63. [Crossref] [PubMed]
- Solano ME, Arck PC. Steroids, Pregnancy and Fetal Development. Front Immunol 2019;10:3017. [Crossref] [PubMed]
- Sandoval JS, Steward RG, Chen C, et al. High Peak Estradiol/Mature Oocyte Ratio Predicts Lower Clinical Pregnancy, Ongoing Pregnancy, and Live Birth Rates in GnRH Antagonist Intracytoplasmic Sperm Injection Cycles. J Reprod Med 2016;61:11-6. [PubMed]
- Tshzmachyan R, Hambartsoumian E. The role of Letrozole (LE) in controlled ovarian stimulation (COS) in patients at high risk to develop ovarian hyper stimulation syndrome (OHSS). A prospective randomized controlled pilot study. J Gynecol Obstet Hum Reprod 2020;49:101643 [Crossref] [PubMed]
- Braam SC, de Bruin JP, Mol BWJ, et al. The perspective of women with an increased risk of OHSS regarding the safety and burden of IVF: a discrete choice experiment. Hum Reprod Open 2020;2020:hoz034 [Crossref] [PubMed]
- Shields R, Vollenhoven B, Ahuja K, et al. Ovarian hyperstimulation syndrome: A case control study investigating risk factors. Aust N Z J Obstet Gynaecol 2016;56:624-7. [Crossref] [PubMed]
- Laven JS, Fauser BC. What role of estrogens in ovarian stimulation. Maturitas 2006;54:356-62. [Crossref] [PubMed]
- Li Y, Luo K, Tang Y, et al. Progesterone/estradiol ratio <0.25 on the day of human chorionic gonadotropin administration is associated with adverse pregnancy outcomes in prolonged protocols for in vitro fertilization/intracytoplasmic sperm injection. Taiwan J Obstet Gynecol 2017;56:27-31. [Crossref] [PubMed]
- Bosch E, Labarta E, Crespo J, et al. Circulating progesterone levels and ongoing pregnancy rates in controlled ovarian stimulation cycles for in vitro fertilization: analysis of over 4000 cycles. Hum Reprod 2010;25:2092-100. [Crossref] [PubMed]
- Lawrenz B, Fatemi HM. Effect of progesterone elevation in follicular phase of IVF-cycles on the endometrial receptivity. Reprod Biomed Online 2017;34:422-8. [Crossref] [PubMed]
- Venetis CA, Kolibianakis EM, Bosdou JK, et al. Progesterone elevation and probability of pregnancy after IVF: a systematic review and meta-analysis of over 60 000 cycles. Hum Reprod Update 2013;19:433-57. [Crossref] [PubMed]
- Fatemi HM, Blockeel C, Devroey P. Ovarian stimulation: today and tomorrow. Curr Pharm Biotechnol 2012;13:392-7. [Crossref] [PubMed]
- Griesinger G, Mannaerts B, Andersen CY, et al. Progesterone elevation does not compromise pregnancy rates in high responders: a pooled analysis of in vitro fertilization patients treated with recombinant follicle-stimulating hormone/gonadotropin-releasing hormone antagonist in six trials. Fertil Steril 2013;100:1622-8.e1-3.
- Kalampokas T, Pandian Z, Keay SD, et al. Glucocorticoid supplementation during ovarian stimulation for IVF or ICSI. Cochrane Database Syst Rev 2017;3:CD004752 [Crossref] [PubMed]
- Tan SL, Balen A, el Hussein E, et al. The administration of glucocorticoids for the prevention of ovarian hyperstimulation syndrome in in vitro fertilization: a prospective randomized study. Fertil Steril 1992;58:378-83. [Crossref] [PubMed]
- Chistyakova GN, Remizova II, Gazieva IA, et al. Immunological and hemostasiological disorders in women with ovarian hyperstimulation syndrome. Gynecol Endocrinol 2014;30:39-42. [Crossref] [PubMed]
- Karpas AE, Rodriguez-Rigau LJ, Smith KD, et al. Effect of acute and chronic androgen suppression by glucocorticoids on gonadotropin levels in hirsute women. J Clin Endocrinol Metab 1984;59:780-4. [Crossref] [PubMed]
- Bishop LA, Richter KS, Patounakis G, et al. Diminished ovarian reserve as measured by means of baseline follicle-stimulating hormone and antral follicle count is not associated with pregnancy loss in younger in vitro fertilization patients. Fertil Steril 2017;108:980-7. [Crossref] [PubMed]
(English Language Editors: M. Bucci and J. Chapnick)

